La bonne auberge 39
Forums JDR de Black Book Editions > Communauté
Alors bien entendu, la pratique du JdR est légèrement différente selon qu'on joue chez soi ou devant des caméras, mais rien qui n'implique un bouleversement profond de la pratique : jouer son personnage, prendre des décisions, jeter des dés.
Blynhelb
Ben en fait si. Parce qu'en plus de ça, surtout quand tu n'as pas de montage, tu as aussi une question de gestion du rythme vu, d'engagement du spectateur, de pourcentage de digression, d'avancée de l'histoire sur la séance, etc... plein de trucs dont tu te contefous quand tu joues avec tes potes parce que ça ne dérange pas si la séance ne fait pas avancer l'histoire globale mais que les gens s'amusent, qu'il n'y a pas d'obligation de rendu, etc...
On est dans la même base de pratique, mais on a une surcouche à laquelle on doit réfléchir. C'est pour ça qu'on n'a pas de chips sur la table, que les joueurs essaient de ne pas être dissipés mais au contraire, concentrés, qu'ils s'amusent à utiliser des techniques d'impro pour rendre les scènes vivantes de l'extérieur, et pas juste de l'intérieur. Etc... Je ne sais pas pour la bonne auberge, mais pour nous par exemple ça implique aussi de travailler hors des parties, de faire des retours, non sur le ludique mais sur le côté show, d'ajuster en permanence pour corriger les trucs qui ont semblé chiants à voir (pas à jouer, bien à voir) lors des épisodes précédents.
C'est d'ailleurs drôle de voir que le spectateur n'a pas non plus la même perception qu'à la table. A la table, passer 3h sur une enquête à charcher, interroger, etc... ça fait partie du jeu. Mais quand nous on passe deux épisodes sur une enquête, les gens trouvent ça déjà presque trop si ça n'a pas rebondi avec de l'action.
In extenso, je ne maîtrise pas du tout à l'écran comme dans la vie. J'ai un timer que je consulte tout le temps pour voir combien de temps a pris une scène, comment je peux couper pour passer à une autre, si je dois déjà préparer un cliffhanger pour la fin de l'épisode ou si j'ai le temps de gérer encore un peu, etc... C'est une gestion de contraintes, toutes plus épaisses les unes que les autres. Et plus ton format est... formatté... (par exemple moi je sais que j'ai X épisode pour arriver à la fin d'un scénario, pas un de plus), plus le boulot est contraignant.
Bref, on ne maîtrise pas exactement à l'écran, et on ne joue pas exactement à l'écran comme on le fait dans la vie.
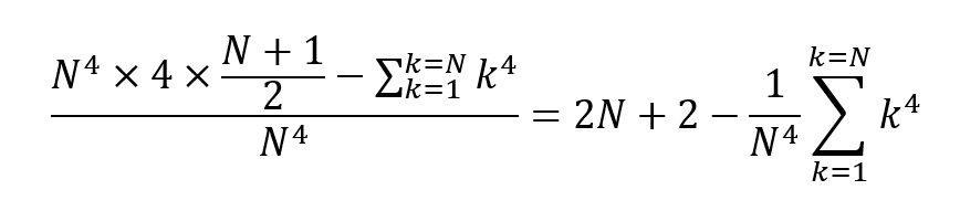
Par contre, je rame à calculer quelle moyenne on obtient en choisissant les 3 meilleurs tirages sur 4 dés 6. Va falloir que je retrouve mes exercices de Stats de BAC+2...
Panda Monk
Bon, je pensais que ça allait être simple, ça m'a bien fait gratter. Merci pour le problème.
La solution : prendre 4d6 et enlever le résultat le plus bas.
Bon, on visualise un hyperquadrillage de dimension 4 et de longueur d'arête 6 unités, et on détermine dans les hypercubes unité (chacun représente l'un des 6^4 cas) combien il faut enlever (la valeur du dé le plus bas) à la moyenne de la somme de 4d6 (on peut directement prendre la moyenne, par distributivité), c'est-à-dire 4 x (6+1)/2.
Il vient qu'il faut enlever en tout :
6 x (1^4 - 0^4) + 5 x (2^4 - 1 ^4) + 4 x (3^4 - 2^4) + 3 x (4^4 - 3^4) + 2 x (5^4 -4^4) + 1 x (6^4 - 5^4)
= (petit calcul) 1^4 + 2^4 + 3^4 + 4^4 + 5^4 + 6^4.
D'où le résultat :
[6^4 x 4 x (6+1)/2 - (1^4 + 2^4 + 3^4 + 4^4 + 5^4 + 6^4)] / 6^4
= [1296 x 14 - 2275] / 1296 = 15 869 / 1296 = 12,2446 environ.
Sauf erreur de ma part.
- Panda Monk
Pour info, on peut en déduire un résultat pour des dés à N faces, avec N entier supérieur ou égal à 2, simplement en prenant l'hyperquadrillage des N ^4 cas et en appliquant mutatis mutandis le raisonnement précédent.
La somme des trois meilleurs de quatre dés à N faces a pour moyenne :
[ N ^4 x 4 x ( N +1)/2 - (1^4 + 2^4 + ... + N ^4)] / N ^4
- Panda Monk
Je vais me noter le cacul. THX !!!
Je crois avoir entendu que certains MJ proposent même 5D6 et les 3 meilleurs... je pourrais comme cela suggérer que c'est trop... à moins qu'ils n'assument ce "trop". Pour le coup cela déstabilise l'équilibre du jeu tendanciellement et durablement.
- NooB294044
Evidemment, il est possible de la simplifier, ce qui simplifiera les calculs, et qui permet de mettre en évidence le 2N + 2 (moyenne de la somme de 4dN ) moins quelque chose (ce quelque chose étant toujours supérieur à 1, cependant, ce qui est évident en "sortant" du sigma le N^4, c'est-à-dire son dernier terme, qui est égal au dénominateur)

Bon, je clos là mon aparté technique. Désolé pour ceux que les calculs insupportent, toutes mes excuses.
Mais pour le coup, peut-on toujours appeler cela du JdR ?
Oui. Il n'y a aucune raison de ne pas appeler ça du JDR. Surtou vu comme on nous rabat les oreilles depuis des années, des décennies, sur le fameux "roleplay". Donc oui.
Julien Dutel
Il ne faut pas confondre "Roleplay" qui est reltivement à la portée de tous, et "Acting" qui demande un minimum de compétences que chaque joueur de JdR n'a pas forcement. 
Mais oui, c'est une forme de JdR, tu as raison. Toutefois, différentes de ce qui se fait sur les tables classiques.
Bref, on ne maîtrise pas exactement à l'écran, et on ne joue pas exactement à l'écran comme on le fait dans la vie.
Julien Dutel
Tu vois, enfin, tu finis par le reconnaître. 
Mais pour le coup, peut-on toujours appeler cela du JdR ?
Oui. Il n'y a aucune raison de ne pas appeler ça du JDR. Surtou vu comme on nous rabat les oreilles depuis des années, des décennies, sur le fameux "roleplay". Donc oui.
Julien Dutel
Il ne faut pas confondre "Roleplay" qui est reltivement à la portée de tous, et "Acting" qui demande un minimum de compétences que chaque joueur de JdR n'a pas forcement.
Mais oui, c'est une forme de JdR, tu as raison. Toutefois, différentes de ce qui se fait sur les tables classiques.
Ce n'est pas "une forme de JDR". C'est du JDR point barre. Personne n'a de légitimité à venir expliquer à des gens que parce qu'ils ne pratiquent pas exactement comme eux, c'est "une forme de" ou "plus vraiment du" JDR.
Maintenant, retirons deux secondes le côté "caméra", et honnêtement je ne vois aucune différence fondamentale de pratique : un MJ, des joueurs qui incarnent des PJ, des règles qui encadrent, du jeu et du ludisme, et des décisions. C'est du JDR et outre un peu de jeu d'acteur en plus, je ne vois aps de différence entre les fondamentax de jeu de ce qu'on fait à l'écran et ce que je fais dans ma vie de tous les jours. Il y a un peu plus d'incarnation ? Ouais certainement. Mais ça, c'est l'élément télégénique. Ce n'est qu'un élément. Mineur d'ailleurs, vis à vis de la pratique de ce qu'est le JDR.
Bref, on ne maîtrise pas exactement à l'écran, et on ne joue pas exactement à l'écran comme on le fait dans la vie.
Julien Dutel
Tu vois, enfin, tu finis par le reconnaître.
Grand_Ancien
J'ai tendance à penser que tu peux comprendre que je parle de deux choses différentes. Je ne dis pas qu'on ne fait plus vraiment du JDR, je dis juste qu'il y a une gestion différente des choses en jeu pour garder une certaine télégénie. Ce qui n'empêche pas qu'on fait du JDR, du vrai. Et ce même s'il y a un côté performatif. Ce côté performatif est effectivement différent, dans la gestion de plein de détails, et j'insiste sur ce mot. Mais encore une fois, le principe de base reste le même : je suis MJ, j'ai mes joueurs, ils incarnent leurs PJ, décident de ce que ces derniers font, démêlent une histoire dont ils n'ont pas les clés à l'avance, ils ne lisent pas leur texte, on ne prépare rien pour eux en avance, ils jouent, ils jettent les dés, et les dés décident de plein de trucs... Bref, ils font du JDR.
On peut séparer la pratique globale et l'aspect télégénique et ses spécificités. Ces spéficités marquent une différence, oui. Mais pas une différence fondamentale. Rien qui ne change, si tu lis tout le post, le jeu en soi, juste le rythme de jeu et le fait qu'il y ait un "rendu" qui dépasse le cadre des joueurs à la table. Mais même ça, ça ne change pas fondamentalement l'activité et ses fondamentaux.
Et je ne laisserai personne, ni me dire qu'on ne fait pas du JDR, ou "pas vraiment" ou qu'on ne peut plus vraiment appeler ça du JDR. On ne pratique pas comme toi ? Ouais et alors ? Plein de gens ne pratiquent pas comme toi, non ?
Et sur ce, on parasite un sujet avec un truc qui n'a rien à voir donc...
C'est quand même halluciant de lire qu'ils ne font pas du JDR. Après avoir visionné les 3 premières vidéos, il me semble évident qu'il s'agit d'un groupe de discussion sur le point de croix... 
Si ils sont acteurs et qu'ils arrivent mieux a interpréter leurs personnages, tant mieux, ils n'en font pas moins du jdr... c'est quoi l'idée en fait ? La peur qu'ils connaissent déjà l'intrigue pour maximiser le dramatique à l'écran ? Je ne pense pas qu'il y en aie besoin pour une partie de jdr bien menée.
Et pour cette première session de jeu je les trouve plutôt timides justement niveau interprétation du personnage, on sent qu'ils n'ont pas encore leur marques.
En tout cas j'ai bien aimé et je pense que je passerais les voir sur Twitch la prochaine fois.
Oui. C'est du Jeu de Rôle sans aucun doute. Ce qui peut changer c'est le risque qu'on pourrait imaginer faire encourir à ses joueurs. Dans une série Actual Play, "tuer" deux PJs en saison 1 partie 8 et les remplacer par de nouveaux characters en début de saison 1 partie 9 au forceps en expliquant que 2 PnJs basculent PJs ou que 2 nouveaux PJs sortent du chapeau de magicien et débarquent comme des cheveux sur la soupe, ce n'est pas des plus aisé et cela peut donner lieu à quelques contorsions cerébrales bien velues.
Pour le reste il s'agit de Jeu de Rôle. Même si chacun étant filmé, tente de donner le meilleur de lui-même et ce n'est pas plus mal... cela doit favoriser les émulations et l'entraide !
Tu as leurs producteurs sous les vidéos.
Renaud DOL travaille à la Française des jeux.
Damien Maric est un entrepreneur.
Florian Sangiorgio est aussi rattaché à la FdJ.
- Droppy94
Partie 5 de mise en ligne pour la Bonne Auberge, toujours tranquillou sur la mise en route on dirait. Le format court est sympa mais du coup, on est dans l'attente du lancement de la campagne en "dur" ! C'est sûr que c'est encore différent de RnP ou CrocnPlay !
J'ai pas mal aimé la partie d'Emmanuel Roudier sur Würm. Même si j'ai peur de "tourner" rapidement en rond après le côté "découverte" de la culture préhistorique et en plus je n'ai plus de temps. Une one shot midnight D&D3.5, une campagne invincible DD5/H&D et une partie JoA en cours. Un retour à du Call of Cthulhu permettrait de retrouver tout de même des douches chaudes, la radio, la transatlantique... et ne plus se laver dans une rivière froide ou un baquet d'eau chaude trop petit avec des poux plein les cheveux. Faudrait leur dire à RnP quand même... ils ne se sont pas lavés une seul fois depuis le début. J'ai vérifié.
Du coup j'ai peur de pledger et que cela reste dans le placard. Même si ce sera toujours possible dans un an d'aller tagger à Rouffignac pour que 10 000 ans après les touristes viennent admirer...
Pour avoir joué, en joueur, à du Würm première édition, honnêtement, j'ai découvert un jeu d'une grande richesse. Mais c'est logique : il n'y a pas de raison que le niveau technologique d'un jeu pousse les scénarios à tourner en rond. C'est juste qu'au lieu d'aller taper des orcs et des gobelins, on affronte des esprits, des fantômes, on négocie avec des sorcières sollitaires, on purge les esprits de la corruption, on se confronte à de terribles shamans capable de parler aux fantômes, on voyage, on échange, on chasse, on gère les soucis politique à l'intérieur du clan, ou entre les clans, etc... Bref, c'est super riche, politiquement, spirituellement, et en termes de possibilités de jeu.
Pour revenir à La bonne auberge, c'est vraiment très agréable à suivre...
Bonne ambiance, bon format, bonne partie...
Merci bien ! ![]()
Oui c'est tranquillou et agréable à écouter ! Bravo !
